CORSO DI MATEMATICA DEL PRIMO SUPERIORE

Le lezioni trattano molti argomenti del primo anno del liceo classico-linguistico, scuola in cui attualmente insegno



CALCOLO NUMERICO


NUMERI NATURALI


I numeri naturali sono quelli che usiamo per contare ( concetto primitivo, cioè di cui non diamo una definizione).
L'insieme si indica con N , (infinito, ordinato, con elemento minimo 0 )
Una rappresentazione grafica è la retta orientata, sulla quale possiamo stabilire se un numero è maggiore (o minore) di un altro se è più a destra (a sinistra).

          ADDIZIONE

È l'operazione tra due numeri a e b, detti addendi, il cui risultato c è chiamato somma     c=a+b ; Gode delle proprietà:

    commutativa:      a+b = b+a

    associativa:      a+(b+c) = (a+b)+c

    distributiva della moltiplicazione rispetto all'addizione:      a·(b+c) = a·b + a·c

    possiede lo zero 0 come elemento neutro:      a+0 = a

          MOLTIPLICAZIONE

È l'operazione tra due numeri a e b, detti fattori, il cui risultato c è chiamato prodotto     c=a·b ; Gode delle proprietà:

    commutativa:      a·b = b·a

    associativa:      a·(b·c) = (a·b)·c

    distributiva della moltiplicazione rispetto all'addizione:      a·(b+c) = a·b + a·c

    possiede uno 1 come elemento neutro:      a·1 = a

    possiede lo zero 0 come elemento assorbente:      a·0 = 0

Dall'elemento assorbente deriva la legge di annullamento del prodotto: un prodotto di più fattori è zero se e solo se almeno un fattore è zero.

          SOTTRAZIONE

È l'operazione il cui risultato, chiamato differenza, si ottiene sottraendo ad un numero (sottraendo ) un altro (minuendo )     c = a-b . Gode delle proprietà:

    invariantiva:      a-b = (a+c) - (b+c)      oppure      a-b = (a-c) - (b-c)

    distributiva della moltiplicazione rispetto alla sottrazione:      a·(b-c) = a·b - a·c


NUMERI INTERI RELATIVI


Dati dei numeri naturali, l'addizione, la moltiplicazione e la potenza sono operazioni interne in N, ovvero il loro risultato è un numero naturale. Ciò NON è vero con le operazioni inverse: infatti la sottrazione tra due numeri può non essere un numero naturale; Quindi, per poterla sempre risolvere, abbiamo dovuto ampliare l'insieme dei numeri naturali con i numeri interi relativi Z.
La novità è che i numeri inglobano il segno; cambiano quindi le regole dell'addizione e della moltiplicazione:

  • nell'addizione i numeri si sommano se hanno lo stesso segno (che mantengono!), altrimenti si fa la differenza, mantenedo il segno del numero più grande.
  • nella moltiplicazione il segno del prodotto è positivo se i numeri hanno lo stesso segno, altrimenti è negativo.


  • Nella moltiplicazione di numeri relativi continuano a valere le proprietà già viste nei numeri naturali:

  • commutativa
  • associativa
  • dissociativa
  • elemento neutro
  • distributiva della moltiplicazione rispetto all'addizione
  • elemento neutro 1
  • elemento assorbente 0
  • legge annullamento prodotto


  •           POTENZA

    Si definisce potenza il prodotto ottenuto moltiplicando n volte il fattore a (dove a è chiamato base e n esponente)

        \({a^n=a·a·a·...·a}\)      n volte
    Le potenze, oltre alle proprietà della moltiplicazione, godono delle seguenti proprietà:

         prodotto di potenze di stessa base:

             \({a^m·a^n}={a^{m+n}}\)

        quoziente di potenze di stessa base:

             \({a^m:a^n}={a^{m-n}}\)

         potenza di potenza:      \({(a^m)^n}={a^{m·n}}\)

         prodotto di potenze di stesso esponente:      \({a^n·b^n}={(a·b)^n}\)

         quoziente di potenze di stesso esponente:      \(\frac{a^n}{b^n}={(\frac{a}{b})^n}\)

    Un caso particolare è quando l'esponente è negativo, dove il segno meno indica che va elevato a potenza l'inverso del numero:
    $$ (\frac{a}{b})^{-n} = (\frac{b}{a})^n $$ Alcuni casi particolari:     a1 = a      a0 = 1      00    NON ESISTE!

    Potenze molto interessanti sono le potenze di 10, dove l'esponente indica il numero degli zeri del numero.
    Sono molto utili per la notazione esponenziale.




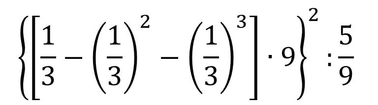
    ESERCIZI

    LE LEGGI DI MONOTONIA

    Sono le seguenti (spiegate nel successivo capitolo sulle disequazioni ):

    Prima legge: una uguaglianza (disuguaglianza) NON cambia se si aggiunge uno stesso numero ai due membri

    Seconda legge di monotonia per le uguaglianze: una uguaglianza NON cambia se si moltiplicano i due membri per uno stesso numero ( ≠ 0)

    Seconda legge di monotonia per le disuguaglianze: una disuguaglianza NON cambia se si moltiplicano i due membri per uno stesso numero POSITIVO ( ≠ 0); se NEGATIVO dobbiamo cambiare il verso della disuguaglianza



    NUMERI RAZIONALI


              DIVISIONE

    È l'operazione il cui risultato, chiamato quoziente, si ottiene dividendo un numero (chiamato dividendo ) per un altro (chiamato divisore )     c = a:b .
    Si può definire come l'operazione inversa della moltiplicazione, ovvero il quoziente (esatto) moltiplicato per il divisore deve dare il dividendo. Da qui deriva che il divisore non può mai essere zero.
    I criteri di divisibilità ci permettono di sapere se dei numeri possono essere divisibili per particolari valori.

    La divisione gode delle proprietà:

        invariantiva:      a:b = (a·c) : (b·c)      oppure      a:b = (a : c) : (b : c)

        distributiva della divisione rispetto alla sottrazione :      (a - b):c = a:c + b:c

        distributiva della divisione rispetto all'addizione :      (a+b):c = a:c + b:c

    La divisione NON è un'operazione interna: dobbiamo quindi introdurre le frazioni, ovvero i numeri razionali  Q .

    La divisione a:b la chiameremo frazione   a/b   e possiamo avere 3 casi:

  • a < b detta propria   ( il quoziente è < 1 )
  • a = b detta apparente   ( il quoziente è = 1 )
  • a > b detta impropria   ( il quoziente è > 1 )
  • Due frazioni che rappresentano la stessa quantità si dicono equivalenti

    A volte dobbiamo trasformare dei numeri decimali in frazioni

              CONFRONTO DI FRAZIONI


    Il problema che si pone è come operare con le frazioni, per esempio per vedere quale numericamente è più grande.
    Per far ciò bisogna far sì che il denominatore sia lo stesso. La procedura è:
  • Trovare il più piccolo dei multipli comuni a tutti i denominatori (minimo comune multiplo m.c.m.)
  • Per ogni denominatore si trova il fattore che manca per arrivare al m.c.m.
  • Si moltiplica il numeratore per il fattore che manca al denominatore, mentre al denominatore si mette il m.c.m.
  •           NUMERI PRIMI, MINIMO COMUNE MULTIPLO (m.c.m.), MASSIMO COMUN DIVISORE (M.C.D.).

    Per lavorare bene con le frazioni bisogna conoscere i numeri primi, cioè i numeri divisibili solo per se stessi e per l'unità.
    È inoltre fondamentale sapere quando due numeri sono primi tra loro, cioè quando hanno come divisore comune solo l'unità.
    Tramite la scomposizione in fattori primi, spiegata nel filmato, si può verificare se dei numeri sono primi tra loro.

    Il minimo comune multiplo ( m.c.m. ) tra più numeri è il più piccolo dei multipli comuni.
    Si trova:

  • scomponendo ogni numero in fattori primi
  • moltiplicando ogni numero primo, preso una sola volta con il massimo esponente, con gli altri trovati
  • Il massimo comun divisore ( M.C.D. ) tra più numeri è il più grande dei divisori comuni.
    Si trova:
  • scomponendo ogni numero in fattori primi
  • moltiplicando solo i numeri primi comuni a tutti i numeri, presi una sola volta con il minimo esponente.

  • Fatte queste considerazioni, possiamo finalmente confrontare e addizionare le frazioni. Il procedimento consiste

  • nel rendere irriducibile ogni singola frazione
  • Nel trovare il m.c.m. dei denominatori
  • Moltiplicate ogni frazione, sopra e sotto, per il fattore mancante al denominatore per arrivare al m.c.m.
  • nel video il procedimento è spiegato in termini più rigorosi:


    CONSIGLI PER LA SOMMA DI FRAZIONI

    Si può calcolare molto velocemente la somma di frazioni:
  • si scrive una frazione unica con al denominatore il m.c.m. dei denominatori
  • Si moltiplicano i vari numeratori per quel che manca ai denominatori per diventera m.c.m.
  • si sommano i valori trovati al numeratore



  •           MOLTIPLICAZIONE DI FRAZIONI


    Per le operazioni di moltiplicazione si moltiplicano i numeratori tra loro e lo stesso si fa con i denominatori, semplificando quando possibile.
    Se in una frazione manca il denominatore ci si mette 1.


    Possiamo ora svolgere le espressioni ricordando che i calcoli si fanno da sinistra verso destra seguendo le priorità:
  • potenze e radici
  • moltiplicazioni e divisioni
  • addizioni e sottrazioni
  • Le priorità si possono cambiare mettendo le parentesi.
    In alcuni calcoli, per semplificare i conti, alcuni segni si possono omettere.









    ESERCIZI


    LE PROPORZIONI


    Si definisce proporzione l'uguaglianza di due rapporti:     a : b = c : d    

    a e d sono detti estremi,     b e c sono detti medi.

    a e c sono detti antecedenti,     b e d sono detti conseguenti.          

    PROPRIETÀ

    La proprietà fondamentale afferma che il prodotto dei medi è uguale al prodotto degli estremi:

        b · c = a · d    

    La proprietà del comporre afferma che la somma del primo e del secondo termine sta al primo (o al secondo) , come la somma del terzo e quarto termine sta al terzo (o al quarto).     (a + b ): a = (c + d ): c         (a + b ): b = (c + d ): d    
    La proprietà dello scomporre afferma che la differenza tra il primo e del secondo termine sta al primo (o al secondo) , come la differenza tra il terzo e quarto sta al terzo (o al quarto).     (a - b ): a = (c - d ): c         (a - b ): b = (c - d ): d    
    La proprietà dell'invertire afferma che scambiando gli antecedenti con i conseguenti si ottiene una nuova proporzione.     b : a = d : c    
    La proprietà del permutare afferma che scambiando i medi (o gli estremi) tra loro si ottiene una nuova proporzione.
        a : c = b : d         d : b = c : a    


    Due grandezze si dicono direttamente proporzionali quando all'aumentare dell'una aumenta proporzionalmente anche l'altra.

    Cioè se raddoppia una, raddoppia anche l'altra;   se una triplica, triplica anche l'altra.
    Un esempio è la densità, dove la massa è direttamente proporzionale al volume.


    LE PERCENTUALI



    Una frazione con 100 al denominatore può essere scritta in percentuale: si scrive il solo numeratore con accanto il simbolo % .
    Il simbolo % significa   · 1 / 100   ( esattamente come   2π   significa   2· 3,14   )


    Questa notazione, essendo facilmente comprensibile, viene molto utilizzata nelle proporzioni, così che molti problemi si riconducono alla formula:   parte : totale = p : 100






    INSIEMI

             

    DEFINIZIONI

    Un insieme è un raggruppamento di elementi secondo un certo criterio.
    L'elemento si indica genericamente con una lettera minuscola, mentre l'insieme con una lettera maiuscola
    Gli elementi di un insieme possono anche essere infiniti, come nel caso dei numeri (N, Q, Z, ℛ).
    Se un elemento ( che si indica genericamente con una lettera minuscola) appartiene ad un insieme, si scrive a ∈ A,
    se non appartiene a ∉ A
    Se un insieme non ha elementi si chiama insieme vuoto e si indica con il simbolo
    I modi di rappresentare un insieme sono:

             

    SOTTOINSIEMI

    Un Insieme A è un sottoinsieme di un altro insieme B, quando tutti gli elementi di A appartengono a B. Si scrive allora           A ⊆ B           Negazione: A ⊈ B
    Si parla di inclusione stretta quando B ha elementi che non appartengono ad A. Si indica con A ⊂ B           Negazione: A ⊄ B
    Si osservi che i simboli sono analoghi a quelli di confronto:      è   analogo a       e      è analogo a    <
    Un sottoinsieme A si dice proprio di B se non è vuoto e B ha elementi che non appartengono ad A.
    Viceversa, per l'insieme vuoto ∅ e per il caso in cui un insieme sia il sottoinsieme di se stesso, si parla di sottoinsieme improprio.
    Infine due insiemi sono uguali quando hanno gli stessi elementi.


             

    INTERSEZIONE

    Si definisce intersezione tra due insiemi A e B, il sottoinsieme che ha gli elementi che sono comuni ad entrambi.
    Si indica con     A ∩ B = {x|x ∈A e x∈B}
    Se non ci sono elementi in comune, gli insiemi si dicono disgiunti


             

    UNIONE

    Si definisce unione tra due insiemi A e B, l'insieme che ha gli elementi che appartengono ad A a B ed entrambi.
    Si indica con     A ∪ B = {x|x ∈A o x∈B}


             

    PROPRIETÀ DELL'INTERSEZIONE

        commutativa:      A∩B = B∩A

        associativa:      (A∩B)∩C = A∩(B∩C)

        distributiva rispetto all'unione:      A∩(B∪C) = (A∩B)∪(A∩C)

             

    PROPRIETÀ DELL'UNIONE

        commutativa:      A∪B = B∪A

        associativa:      (A∪B)∪C = A∪(B∪C)

        distributiva rispetto all'unione:      A∪(B∩C) = (A∪B)∩(A∪C)


             

    DIFFERENZA

    Si definisce differenza tra due insiemi A e B, l'insieme degli elementi di A cha non appartengono a B.
    Si indica con     A - B = {x|x ∈A e x∉B}
    Attenzione: non vale la proprietà commutativa.
    casi:

  • se  A⊆B ,   ⇒   A-B = ø
  • se  A∩B = ø   ⇒   A-B = A

  •          

    INSIEME COMPLEMENTARE

    Dato un insieme A ⊆ B si definisce l'insieme complementare di A rispetto ad B, l'insieme B-A.
    Si indica con     ĀB
    Spesso si usa come contenitore l'insieme più grande, detto insieme universo, e, per indicare il complementare, scriveremo semplicemente Ā (senza il pedice!).


             

    PRODOTTO CARTESIANO

    Dati due insiemi A e B si definisce l'prodotto cartesiano l'insieme di tutte le coppie di elementi ordinate (attenzione: è importantissimo l'ordine!), per cui il primo elemento appartiene ad A e il secondo a B.
    Si indica con     A×B =  {(x;y)|x ∈A e y∈B}
    Il prodotto cartesiano non è commutativo: A×B ≠ B×A
    Il prodotto cartesiano si può rappresentare con il diagramma cartesiano o con la tabella a doppia entrata.
    Il prodotto cartesiano può essere fatto anche con un insieme per se stesso.


             

    L'INSIEME DELLE PARTI e la PARTIZIONE DI UN INSIEME

    Si chiama insieme delle parti di A l'insieme costituito da tutti i possibili sottoinsiemi di elementi di A.
    Si indica con 𝒫(A)

    Si chiama partizione dell'insieme A, un insieme di sottoinsiemi che hanno tutti le seguenti proprietà:

  • Ogni sottoinsieme non è vuoto
  • tutti i sottoinsiemi sono disgiunti tra loro
  • L'unione di tutti i sottoinsiemi è A
  • ESERCIZI
    ESERCIZIO 1:
    Si determini l'intersezione tra l'insieme A, composto dai numeri razionali     x = n+1/n    , dove n appartiene ai naturali, e B composto dai numeri reali compresi tra 2 e 5 inclusi.       SVOLGIMENTO

    ESERCIZIO 2:
    Siano dati l'insieme A, composto dai numeri razionali     x = n+1/n    , dove n appartiene ai naturali; l'insieme B composto dai numeri reali compresi tra 2 incluso e 5 escluso, e l'insieme C composto dai numeri reali compresi tra 5/2 incluso e 6 esluso.
    Si determini (A∩B)∪(A∩C)       SVOLGIMENTO

    ESERCIZIO 3:
    Si determini sulla rappresentazione di Eulero-Venn a fianco la relazione:

                (A∪B) - C







    CALCOLO LETTERALE

             

    INTRODUZIONE

    Il calcolo letterale serve per esprimere formule, proprietà e risolvere problemi.
    Le lettere possono esprimere valori che cambiano (variabili), o costanti (costanti) come π.

    Definiamo espressione algebrica ogni scrittura con numeri e lettere legati da simboli di operazione.

    Se le lettere sono solo al numeratore si parla di espressione algebrica intera, altrimenti frazionaria.

             

    MONOMI


    Quando le operazioni sono solo di moltiplicazione (e potenza!), si parla di monomi.
    Un monomio si dice ridotto in forma normale quando ha un solo fattore numerico (coefficiente) e la parte letterale è il prodotto di potenze con basi letterali diverse.


    SOMMA DI MONOMI

    Monomi ridotti si dicono simili se hanno la stessa parte letterale (esponenti inclusi!).

    Se il coefficiente è lo stesso si dicono uguali, se cambia il segno opposti

    Monomi simili si possono sommare, e il risultato è la somma dei coefficienti con la stessa parte letterale.

    Il grado di un monomio è la somma di tutti gli esponenti delle lettere
    Il grado rispetto a una lettera è invece l'esponente di una singola lettera.
    se l'esponente su una lettera non c'è, vale 1 , cioè è di primo grado rispetto a quella lettera.
    se la lettera non c'è vale 0 , cioè è di grado zero rispetto a quella lettera.

    ESERCIZI
    ESEMPI:

    Somme e differenze di monomi.
                SVOLGIMENTO



    PRODOTTO DI MONOMI

    Il prodotto di monomi si effettua moltiplicando i coefficienti numerici tra loro e le lettere tra loro (per ogni lettera gli esponenti si sommano!); Si riduce poi il monomio risultante.

    La potenza di un Il monomio si effettua elevando alla stessa potenza sia il coefficiente numerico che le lettere (i loro esponenti vanno moltiplicati per l'esponente del monomio!).


    QUOZIENTE DI MONOMI

    Il quoziente di monomi si effettua dividendo i coefficienti numerici tra loro e le lettere tra loro (per ogni lettera gli esponenti si sottraggono!); Si riduce poi il monomio risultante.




    MASSIMO COMUN DIVISORE E MINIMO COMUNE MULTIPLO TRA MONOMI

    Il Massimo Comun Divisore (M.C.D.) è il più grande tra i divisori comuni.

    Si trova facendo il M.C.D. dei coefficienti numerici (positivo! inoltre, se ci sono frazioni, si prende come numero 1) e si prendono le sole lettere comuni con il minimo esonente .

    Il minimo Comune multiplo (m.c.m.) è il più piccolo tra i multipli comuni.

    Si trova facendo il m.c.m. dei coefficienti numerici (positivo! inoltre, se ci sono frazioni, si prende come numero 1) e si prendono tutte le lettere con il massimo esponente .



             

    POLINOMI


    DEFINIZIONI

    Il polinomio è la somma di più monomi
    Il grado del polinomio è lo stesso del monomio di grado massimo.
    Un polinomio è omogeneo quando tutti i monomi hanno lo stesso grado.
    Il grado del polinomio rispetto a una lettera è lo stesso del monomio di grado massimo rispetto a quella lettera .
    Un polinomio si dice ordinato rispetto a una lettera in ordine decrescente (crescente) quando i monomi più a destra hanno l'esponente di quella lettera più basso (alto)
    Il polinomio è omogeneo quando una lettera compare con tutti gli esponenti compreso quello senza la lettera (trermine di grado zero detto termine noto)


    SOMMA E DIFFERENZA DI POLINOMI

    La somma di polinomi si fa sommando i coefficienti numerici dei monomi simili e lasciando invariata la parte letterale.

    La differenza di due polinomi si fa cambiando il segno dei monomi del polinomio che sottraiamo, e facendo poi la somma.


    PRODOTTO DI UN POLINOMIO PER UN MONOMIO

    Il prodotto di un polinomio per un monomio si ottiene moltiplicando il monomio per tutti i termini del polinomio.






    ESERCIZI

    QUOZIENTE DI UN POLINOMIO PER UN MONOMIO

    Il quoziente di un polinomio per un monomio si ottiene dividendo ogni termine del polinomio per il monomio .





    ESERCIZI

    PRODOTTO DI DUE POLINOMI

    Il prodotto di due polinomi si ottiene moltiplicando ciascun termine del primo polinomio per ognitermine del secondo polinomio .






    ESERCIZI

    PRODOTTI NOTEVOLI

    I prodotti notevoli sono sintesi di prodotti che capitano spesso da imparare a memoria.
    Nei video spiego come si ricavano le seguenti formule dei prodotti notevoli (si consiglia di usare le lettere maiuscole nelle formule sotto!).
    (A + B)2 = A2 + 2·A·B + B2

    (A - B)2 = A2 - 2·A·B + B2

    (A + B + C)2 = A2 + B2 + C2 + 2·A·B + 2·A·C + 2·B·C

    (A + B)(A - B) = A2 - B2

    (A + B)3 = A3 + 3·A2·B + 3·A·B2 + B3

    (A - B)3 = A3 - 3·A2·B + 3·A·B2 - B3



    ESERCIZI
    quadrato di binomio e di trinomio somma di due monomi per la loro differenza cubo di binomio esercizi conclusivi




             

    SCOMPOSIZIONE IN FATTORI DI UN POLINOMIO


    INTRODUZIONE

    La scomposizione di un polinomio consiste nel scriverlo come prodotto di altri polinomi (concettualmente è analogo alla scomposizione di un numero in fattori primi).

    Non sempre questa scomposizione è possibile: si parla allora di polinomio irriducibile ( esempio i polinomi di primo grado e i binomi somma di quadrati di due monomi).

    Se invece si può scomporre si parla di polinomio riducibile.

    Un polinomio che non si può più ridurre si dice che è ridotto ai minimi termini.

    RACCOGLIMENTO A FATTOR COMUNE

    È il primo passaggio da fare nelle scomposizioni dei polinomi!

    Si applica quando in tutti i termini hanno un fattore comune, che viene messo in evidenza (è una applicazione della proprieta distributiva della moltiplicazione rispetto all'addizione).



    ESERCIZI


    RACCOGLIMENTO PARZIALE

    Si applica quando alcuni termini del polinomio hanno un fattore comune mentre i restanti ne hanno altri.
    Se gli elementi raccolti hanno un fattore comune, si fa il raccoglimento totale.
    Si osservi che è il procedimento inverso della moltiplicazione di polinomi, e si articola in due fasi:
  • si raccolgono i fattori comuni
  • se il risultato ha un fattore comune, si raccoglie
  • ESERCIZI Esercizi:


    SVILUPPO DELLA DIFFERENZA DI DUE QUADRATI

    Si applica quando abbiamo la differenza tra due quadrati.

    A2 - B2 = (A + B)(A - B)

    Si osservi che un binomio somma tra due quadrati NON si può scomporre.
    A2 + B2     NON si scompone

    ESERCIZI Esercizi:


    TRINOMIO SVILUPPO DEL QUADRATO DI UN BINOMIO

    Si applica quando abbiamo un trinomio che risulta essere lo sviluppo di un quadrato di binomio.
    Si può riconoscere individuando i due monomi elevati al quadrato, poi si verifica il doppio prodotto.
    Se il segno del doppio prodotto è negativo i monomi (del binomio!) avranno segno opposto.

    A2 + 2·A·B + B2 = (A + B)2         A2 - 2·A·B + B2 = (A - B)2

    ESERCIZI Esercizi:



    POLINOMIO SVILUPPO DEL QUADRATO DI UN TRINOMIO

    Si applica quando abbiamo un polinomio composto da 6 monomi, che risulta essere lo sviluppo di un quadrato di trinomio.
    Si può riconoscere individuando i tre monomi elevati al quadrato, poi si verifica il doppio prodotto.
    Se il segno del doppio prodotto è negativo i monomi che si moltiplicano avranno segno opposto.

    A2 + B2 + C2 + 2·A·B + 2·A·C + 2·B·C = (A + B + C)2

    ESERCIZI Esercizi:


    SOMMA E DIFFERENZA DI DUE CUBI

    Si applica quando abbiamo la somma o la differenza di due cubi; Le formule risolutive sono:

    A3 + B3 = (A + B)(A2 - AB + B2)

    A3 - B3 = (A - B)(A2 + AB + B2)

    ESERCIZI Esercizi:


    QUADRINOMIO SVILUPPO DEL CUBO DI BINOMIO

    Si applica quando abbiamo un quadrinomio che risulta essere lo sviluppo di un cubo di binomio; Le formule sono:

    A3 + 3·A2·B + 3·A·B2 + B3 = (A + B)3

    A3 - 3·A2·B + 3·A·B2 - B3 = (A - B)3

    SCOMPOSIZIONE DI UN PARTICOLARE TRINOMIO DI SECONDO GRADO

    Si applica quando abbiamo un trinomio di secondo grado, messo in ordine decrescente, nel quale:
  • il primo coefficiente numerico è uno
  • il secondo è la somma di due numeri, che chiamiamo A e B:       A + B
  • il terzo è il prodotto dei due numeri sopra:       A · B
  • La formula risolutiva è:

           x2 + (A + B) x + A · B = (x + A)(x + B)

    ESERCIZI       sul trinomio caratteristico


    ESERCIZI       conclusivi sulla scomposizione in fattori


             

    IDENTITA' ED EQUAZIONI DI PRIMO GRADO


    DEFINIZIONI

    Una identità è una uguaglianza sempre verificata (quale che sia il valore delle lettere) .

    Una equazione è una uguaglianza tra due espressioni vera solo per particolari valori di alcune lettere, che chiamiamo incognite .
    I valori che rendono vera l'uguaglianza sono detti soluzioni o radici .

    Il campo di esistenza o dominio è l'insieme dei valori dell'incognita in cui cerchiamo le soluzioni.

    TIPI DI EQUAZIONI

    Le equazioni si possono classificare in:
  • intere quando l'incognita è solo al numeratore
  • fratte quando l'incognita è anche al denominatore

  • considerando le lettere :
  • numeriche quando le uniche lettere presenti sono le incognite
  • letterali quando ci sono altre lettere, dette parametri oltre alle incognite

  • considerando le soluzioni :
  • determinata quando ha un numero finito di soluzioni
  • indeterminata quando ha un infinite soluzioni
  • impossibile quando non ha soluzioni

  • FORMA NORMALE e GRADO DI UNA EQUAZIONE

    Un polinomio ridotto a forma normale, posto uguale a zero diventa una equazione scritta in forma normale o canonica.
    Il grado dell'equazione è il grado dell'incognita. Se è di grado uno è anche detta equazione lineare
    Il termine senza l'incognita, se c'è, è chiamato termine noto.

    PRINCIPI DI EQUIVALENZA

    Per risolvere le equazioni, dobbiamo convertirle in altre equivalenti più semplici, utilizzando i principi di equivalenza.

    EQUAZIONI EQUIVALENTI


    Due equazioni sono equivalenti quando hanno le stesse soluzioni (tutte!)

    Per passare da una equazione ad un'altra equivalente si usano i due principi di equivalenza.


    PRINCIPI DI EQUIVALENZA

    Primo principio di equivalenza: sommando o sottraendo,ai due membri di una equazione, uno stesso numero , si ottiene una equazione equivalente a quella data.

    Secondo principio di equivalenza: moltiplicando o dividendo,i due membri di una equazione, per uno stesso numero, diverso da zero. si ottiene una equazione equivalente a quella data.

    Conseguenze del primo principio:
  • trasporto, ovvero portare un termine da un membro all'altro, cambiandolo di segno
  • soppressione, ovvero togliere un termine comune ai due membri
  • Conseguenze del secondo principio:
  • semplificazione di un fattore comune, ovvero dividere enrambi i membri per quel fattore
  • cambio del segno di entrambi i membri
  • trasformazione ad equazione intera moltiplicando i membri per il minimo comune multiplo dei denominatori
  • trasporto dal numeratore di un membro al denominatore dell'altro (e viceversa) di fattori comuni
  • RISOLUZIONE DI UNA EQUAZIONE DI PRIMO GRADO

    Per risolvere una equazione di primo grado:
  • si aprono le parentesi
  • si rende intera l'equazione, moltiplicando i due membri per il m.c.m. dei denominatori
  • si portano i termini noti in un membro e i termini con la x nell'altro
  • si riducono i termini simili
  • si porta il coefficiente della x al denominatore del termine noto
  • RISOLUZIONE DI UNA EQUAZIONE DI GRADO QUALSIASI

    Per risolvere una equazione di grado qualsiasi:

  • si portano tutti i termini al primo membro, lasciando zero al secondo membro
  • si scompone in fattori l'equazione
  • si trovano le soluzioni, ponendo uguali a zero le espressioni all'interno di ogni parentesi


  • ESERCIZI


    DISEQUAZIONI DI PRIMO GRADO

    DISUGUAGLIANZE NUMERICHE

    Una disuguaglianza ci indica quale, tra due grandezze omogenee, è:

  • maggiore >
  • maggiore o uguale
  • minore <
  • minore o uguale

  • Per vedere seu un numero è maggiore di un altro basta ricordarsi i numeri di piano di un grattacielo : il numero più grande è quello che sta più in alto!
    Mettendo poi un righello come in figura, possiamo confrontare anche i numeri con le virgole.
    Infine, ribaltando il grattacielo, vediamo i numeri sulla retta orientata.
    Dove ci sono le frazioni, basta fare la divisione e otteniamo i numeri con la virgola.

    Valgono le 3 seguenti proprietà:

  • monotomia, ovvero se aggiungo o tolgo ai due membri uno stesso numero la disequazione non cambia




  • moltiplicazione (o divisione), ovvero se moltiplico (divido) i due membri per uno stesso numero
      positivo la diseguaglianza non cambia
      negativo la diseguaglianza si inverte


  • Reciproci di numeri concordi (stesso segno!) diversi da 0 : si inverte la disuguaglianza.

    Tale proprietà NON VALE per numeri discordi!



  • DISEQUAZIONI DI PRIMO GRADO

    Si chiama disequazione una diseguaglianza in cui compaiono espressioni letterali di cui cerchiamo i valori di una o più lettere (incognite) che rendono vera la disuguaglianza.

    Le soluzioni si rappresentano sulla retta orientata con segmenti, ai cui estremi si mettono:

  • dei pallini se tali punti appartengono alle soluzioni
  • dei pallini se NON appartengono alle soluzioni
  • Le parti che NON sono soluzioni non si segnano, oppure si segnano con una linea tratteggiata.

    Per risolvere le disequazioni si applicano gli stessi principi di equivalenza delle equazioni, con la precisazione che il secondo principio deve tener conto del segno del coefficiente, perchè quando è negativo la disuguaglianza cambia verso.

    ESERCIZI


    A volte capita di avere delle espressioni di cui dobbiamo studiare il segno ; allora dobbiamo:

  • portare tutti i termini al primo membro
  • scomporre in fattori il primo membro
  • studiare il segno di ogni fattore (ponilo > 0, risolvi la disequazione, traccia il grafico del segno)
  • stabilire il segno dell'espressione tenendo condo della regola dei segni di un prodotto

  • Osservazione: una disequazione > 0 , scomposta in fattori, chiede di vedere dove il prodotto è positivo; una < 0 dove il prodotto è negativo

    ESERCIZI

    Esercizi con studio del segno di prodotti

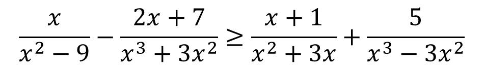
    Esercizi con disequazioni frazionarie
    Esercizi con confronto tra equazioni e disequazioni frazionarie



             

    STATISTICA


    DEFINIZIONI

    Una indagine statistica è una raccolta di dati, che viene analizzata per fare delle descrizioni (statistica descrittiva) o interpretazioni (statistica induttiva o inferenziale).
    Riguarda fenomeni che possono essere tipici (che hanno sempre le stesse caratteristiche, come una legge fisica) o atipici (come l'altezza di una piantagione).
    Quando numerosi fenomeni atipici hanno caratteristiche uniformi, si parla di fenomeni collettivi.
    L'analisi viene fatta su una popolazione ( detta anche universo ) dove ogni elemento è detto unità statistica.
    Se l'analisi riguarda tutta la popolazione si parla di censimento. Altrimenti, quando riguarda una parte rappresentativa, di campione.
    Si chiama carattere la caratteristica analizzata, e può presentarsi in varie modalità, sia qualitative che quantitative (discrete come il numero di auto o continue come l'altezza delle persone) .

    TABELLE DI FREQUENZA

    Il numero di volte con cui compare una modalità si chiama frequenza F.
    Se dividiamo tale valore per tutto il campione n (o la popolazione), otteniamo la frequenza relativa       f=F/n.
    La frequenza relativa, moltiplicata per 100, dà la frequenza relativa percentuale        f % = f · 100.
    I dati vanno quindi riportati su una tabella con le varie modalità, come in figura.


    CLASSI DI FREQUENZA

    I dati continui, come l'altezza, vanno raggruppati in intervalli di valori detti classi.
    Ogni intervallo va da un estremo inferiore a uno estremo superiore, la cui somma diviso 2 dà il valore centrale:

           V.C. = (Max - min ) / 2

    SERIE STATISTICHE, SERIAZIONI STATISTICHE, TABELLE A DOPPIA ENTRATA

    Si tratta di tre tipi di tabelle;

  • la serie statistica ha un carattere qualitativo la cui modalità va nella prima colonna.
  • la seriazione statistica ha un carattere quantitativo la cui modalità va nella prima colonna.
  • la tabella a doppia entrata studia due caratteri di cui il primo ha per ogni modalità una in colonna e l'altro ha ogni modalità su una riga.

  • RAPPRESENTAZIONE GRAFICA DEI DATI

  • l'ortogramma è composto di tanti rettangoli quante sono le modalità, e l'altezza è la corrispondente frequenza.
  • l'istogramma ha alla base la distribuzione in classi e l'area dei rettangoli è la frequenza.
         Se abbiamo classi di stessa ampiezza si uniscono i punti centrali ottenendo il poligono delle frequenze
  • il diagramma cartesiano ha alla base la modalità discreta, e in ordinata la frequenza.
  • l'aerogramma (detto anche diagramma a torta o diagramma circolare ) ha lei fette proporzionali alle frequenze percentuali.
  • l'ideogramma usa figure proporzionali ai dati che rappresentano.
  • l'cartogramma usa cartine geografiche colorate (o con simboli) secondo una legenda che indica le corrispettive frequenze.

  • INDICI DI POSIZIONE CENTRALE

    In statistica cerchiamo dei valori intermedi per riassumere un insieme di dati.
    Il calcolo può utilizzare tutti i dati, e si parla quindi di medie di calcolo (media aritmetica, media ponderata), oppure, se consideriamo solo alcuni dati (mediana, moda), parliamo di medie di posizione (mediana, moda)

    MEDIA ARITMETICA

    La media aritmetica è la somma dei dati diviso il loro numero: $$ \overline{x} = \frac{x_1 + x_2 + .....+x_n}{n} $$


    MEDIA PONDERATA

    La media ponderata p tiene conto dell'importanza che diamo ai dati, tramite un coefficiente detto peso pi:

    $$ p = \frac{x_1p_1 + x_2p_2 + .....+x_np_n}{p_1 + p_2 + .....+p_n} $$

    MEDIANA E MODA

    Per calcolare la mediana si mettono in ordine crescente i dati e si prende il valore centrale.
    Se i dati sono in numero pari, si prendono i due valori centrali e si fa la media.

    La moda e il valore del dato più frequente.


    INDICI DI VARIABILITÀ

    Una serie di numeri si può sintetizzare con il valore centrale e con un indice di variabilità ( o di dispersione) che ci dà un'idea di quanto si discostano i dati tra loro e con il valore centrale.

    CAMPO DI VARIAZIONE

    Il più semplice è il campo di variazione, che è la differenza tra il valore maggiore e il valore minore
    Risente però eccessivamente dei valori estremi.

    SCARTO SEMPLICE MEDIO

    Per calcolarlo bisogna:

  • trovare il valore medio
  • togliere ad ogni dato il valore medio scarto e prendere il valore assoluto
  • fare la media degli scarti
  • $$ S = \frac{\begin{vmatrix}x_1-\overline{x}\end{vmatrix} + \begin{vmatrix}x_2-\overline{x}\end{vmatrix} + .....+\begin{vmatrix}x_n-\overline{x}\end{vmatrix} }{n} $$

    SCARTO QUADRATICO MEDIO

    Per calcolarlo bisogna:

  • prendi gli scarti calcolati sopra e li elevi al quadrato
  • fai la media dei quadrati
  • estrai la radice
  • $$ \sigma = \sqrt{\frac{(x_1-\overline{x})^ 2 + (x_2-\overline{x})^ 2 + .....+(x_n-\overline{x})^ 2 }{n}} $$